🔒 Unlock Full Access

You're currently viewing a preview. Sign up or log in to access all 5 questions and complete solutions.

Question 1
28365

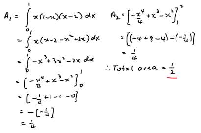
Find the area enclosed by the graphs of \(y=x(1-x)(x-2)\) and the \(x\)-axis. 

\(\frac{1}{2}\)

📚 Want More Questions?

There are 4 more questions available. Create your free account to access the complete question set with detailed solutions.